回帰モデルの評価指標を徹底解説
R²、MAPE、MAE、RMSEについて、意味・解釈・使いどころを整理して解説します
目次
1. はじめに
回帰モデルを作ったら、次に重要なのが「評価」です。評価指標は、モデルの精度を数値化し、特徴量エンジニアリングやパラメータ調整によって本当に改善したかを判断するために使います。
回帰では R²、MAPE、MAE、RMSE などがよく使われますが、それぞれが何を評価している指標なのかを十分に理解しないまま、慣習的に使われているケースも少なくありません。指標ごとに「何を良いとするか」は異なるため、目的に合わない指標を選ぶと判断を誤ることがあります。
本記事では、代表的な評価指標について、意味・解釈・使いどころを整理して解説します。
2. 評価指標一覧
回帰モデルでは、「どれくらい当たっているか」を一つの数値で表すために評価指標を用います。
代表的な指標には、以下のようなものがあります。

重要なのは、「どの指標が一番優れているか」ではなく、「目的に合った指標を選べているか」です。以降では、それぞれの指標について「意味」「解釈」「使いどころ」を整理していきます。
3. MAPE(Mean Absolute Percentage Error)
MAPEは、実測値に対して平均で何%ずれているかを表す指標です。

どう解釈するか
たとえば MAPE = 20% の場合、「このモデルの予測は、実測値に対して平均で20%程度ずれている」と解釈できます。このように、割合で説明できるため、ビジネス担当者にも非常に伝えやすいのが特徴です。
一般的な目安としては以下のように使われることが多いです。

メリット
- 「平均で何%外れているか」が直感的
- スケールに依存せず、異なるモデル同士の比較がしやすい
- 需要予測・売上予測などでよく使われる
注意点
- 実測値が 0 または 0 に近い場合に不安定
- 小さな実測値に対する誤差を過大評価しやすい
- マイナス値を含むターゲットには基本的に不向き
✅ 「説明しやすさ重視」の場面では有力だが、万能ではない指標です。
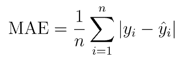
4. MAE(Mean Absolute Error)
MAEは、予測値と実測値のズレの絶対値を平均したものです。

どう解釈するか
たとえば MAE = 5 の場合、
「このモデルは平均すると5(個・円など)分ずれている」
と解釈できます。
MAPEと違い、ターゲットと同じ単位で誤差を把握できるのが特徴です。
実務での使い方
- 平均販売数が100個で MAE = 5 → 平均5%程度の誤差
- 「±10個までなら問題ない」といった業務要件と直接比較できる
メリット
- 単位がそのままで分かりやすい
- 外れ値の影響を受けにくく、安定した指標
- ビジネス判断と結びつけやすい
注意点
- スケールが異なるタスク同士の直接比較には向かない
- 大きな誤差を特別に重視したい場合には不十分なこともある
✅ 「平均でどれくらいズレるか」を素直に知りたい場合の基本指標です。
5. RMSE(Root Mean Square Error)
RMSEは、誤差を二乗して平均し、その平方根を取った指標です。

どう解釈するか
単位はMAEと同じですが、大きな誤差をより強く評価します。
- MAE ≒ RMSE → 大きな外れ値が少ない
- RMSE ≫ MAE → 一部で大きな外れが発生している
といった読み取りが可能です。
メリット
- 大きな誤差を強くペナルティできる
- 回帰問題で広く使われる標準的指標
- 最適化やモデル比較に向いている
注意点
- 外れ値に敏感
- ビジネス担当者には直感的に伝わりにくい場合がある
✅ 「大きな予測ミスを特に避けたい」場面で有効な指標です。
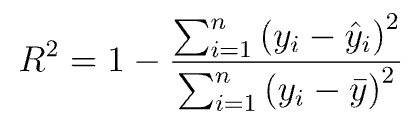
6. 決定係数 R²
R²は、モデルがターゲットのばらつきをどれだけ説明できているかを表します。

どう解釈するか
- R² = 0.7 → データのばらつきの70%をモデルが説明
- R² = 0 → 平均値予測と同レベル
- 負の値 → 平均予測より悪い
一般的な目安は以下の通りです。

メリット
- モデル全体の説明力を一目で把握できる
- 他モデルとの比較がしやすい
注意点
- 誤差の大きさ自体は分からない
- 高いR²でも、業務的に許容できない誤差が出ることがある
- 特徴量を増やすだけで上がりやすい
✅ 指標上では「良さそう」に見えても、必ずMAEやRMSEと併用すべき指標です。
7. まとめ
評価指標は、モデルの良し悪しを一面的に判断するためのものではありません。
✅ ビジネス説明重視 → MAPE
✅ 平均的なズレを把握 → MAE
✅ 大きなミスを避けたい → RMSE
✅ モデル全体の説明力 → R²
というように、目的・相手・判断基準によって使い分けることが重要です。
特に実務では、「R²は高いが、MAEを見ると業務的に使えない」といったケースも珍しくありません。
評価指標を正しく理解し、「数字の意味を説明できる状態」になることが、機械学習を使える技術にする第一歩と言えるでしょう。
